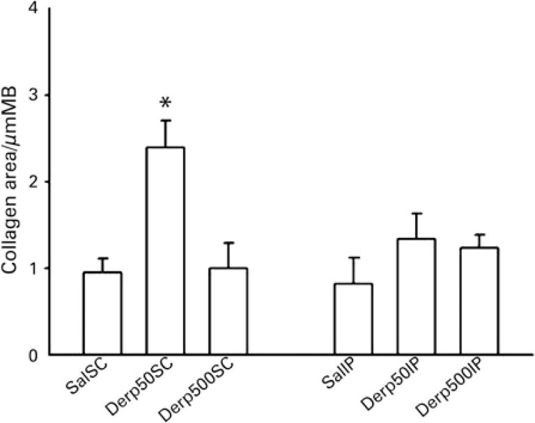
Clinical aspects of the mother-infant relationship and related issues are well studied and very relevant to medical practice. Nevertheless, some approaches in this context cannot plausibly be investigated in humans due to their ethical implications and to the potential harm to the mother’s and child’s health. Studies on maternal behavior in animals have evident importance to some clinical fields, such as psychiatry and psychology, particularly considering topics, including mother-infant relationship, postpartum depression, cognitive and behavioral development of children, and associated […]