einstein (São Paulo). 01/Oct/2015;13(4):560-6.
Sensitization by subcutaneous route is superior to intraperitoneal route in induction of asthma by house dust mite in a murine mode
DOI: 10.1590/S1679-45082015AO3389
ABSTRACT
Objective
To develop a new experimental model of chronic allergic pulmonary disease induced by house dust mite, with marked production of specific immunoglobulin E (IgE), eosinophilic inflammatory infiltrate in the airways and remodeling, comparing two different routes of sensitization.
Methods
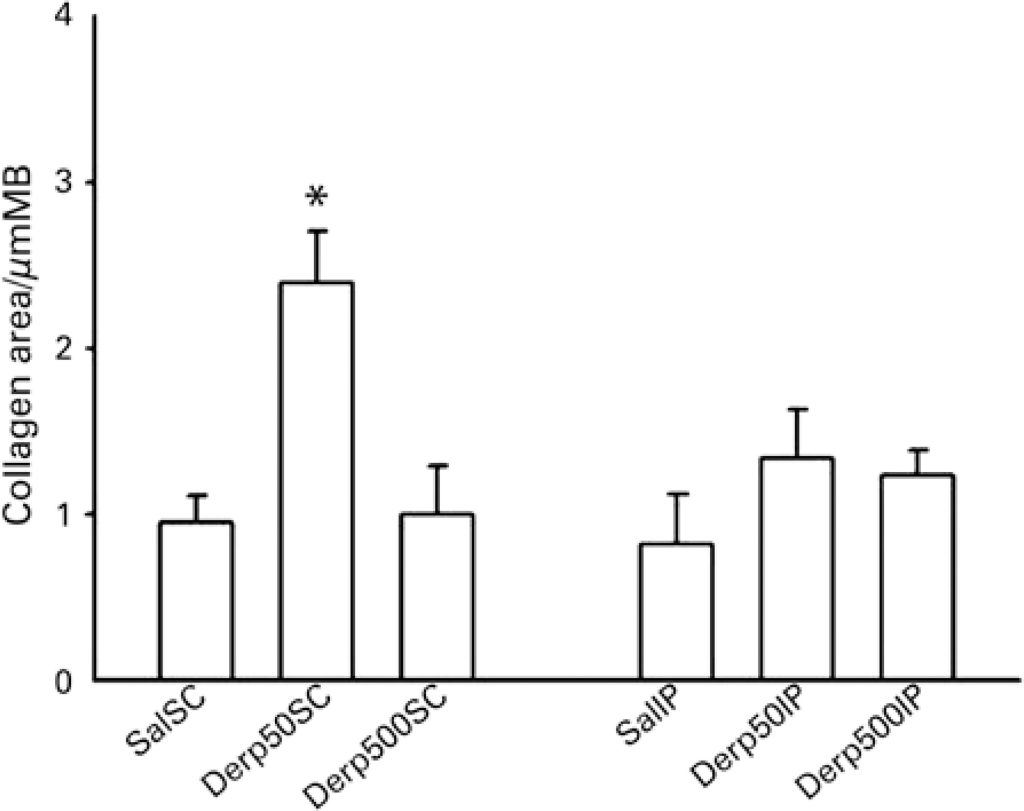
The protocol lasted 30 days. BALB/c mice were divided into six groups and were sensitized subcutaneously or intraperitoneally with saline (negative control), Dermatophagoides pteronyssinus (Der p) 50 or 500mcg in three injections. Subsequently they underwent intranasal challenge with Der p or saline for 7 days and were sacrificed 24 hours after the last challenge. We evaluated the titration of specific IgE anti-Der p, eosinophilic density in peribronchovascular space and airway remodeling.
Results
Both animals sensitized intraperitoneally and subcutaneously produced specific IgE anti-Der p. Peribronchovascular eosinophilia increased only in mice receiving lower doses of Der p. However, only the group sensitized with Der p 50mcg through subcutaneously route showed significant airway remodeling.
Conclusion
In this murine model of asthma, both pathways of sensitization led to the production of specific IgE and eosinophilia in the airways. However, only the subcutaneously route was able to induce remodeling. Furthermore, lower doses of Der p used in sensitization were better than higher ones, suggesting immune tolerance. Further studies are required to evaluate the efficacy of this model in the development of bronchial hyperresponsiveness, but it can already be replicated in experiments to create new therapeutic drugs or immunotherapeutic strategies.
Keywords: Models, animal; Asthma/chemically induced; Pyroglyphidae
251

