einstein (São Paulo). 01/out/2015;13(4):560-6.
Sensibilização por via subcutânea é superior à intraperitoneal na indução de asma por ácaro em modelo murino
DOI: 10.1590/S1679-45082015AO3389
RESUMO
Objetivo
Desenvolver um novo modelo experimental de doença pulmonar alérgica crônica por ácaro, com proeminente produção de imunoglobulina E (IgE) específica, infiltrado inflamatório eosinofílico nas vias aéreas e remodelamento, comparando duas vias diferentes de sensibilização.
Métodos
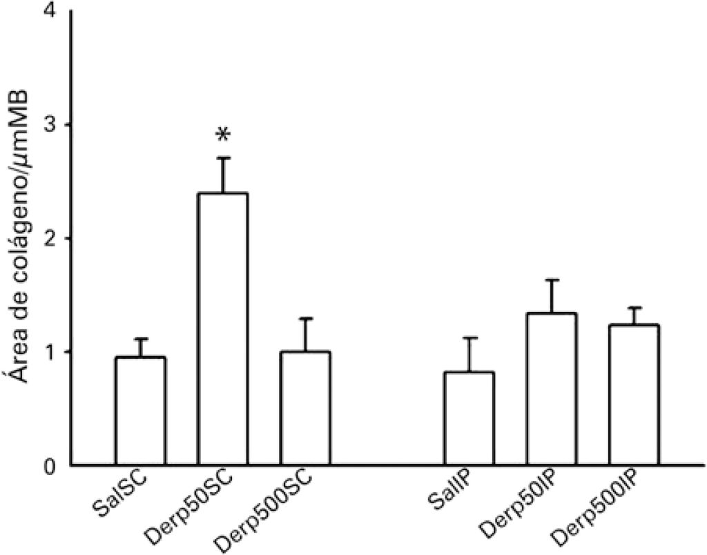
O protocolo teve duração de 30 dias. Camundongos BALB/c foram divididos em seis grupos submetidos à sensibilização por via subcutânea ou intraperitoneal com solução salina (controles negativos),Dermatophagoides pteronyssinus (Der p) 50 ou 500mcg, em três aplicações. Posteriormente, foram submetidos à provocação intranasal com Der p ou salina por 7 dias e sacrificados 24 horas após o último desafio. Avaliamos a titulação de IgE específica anti-Der p, densidade eosinofílica no espaço peribroncovascular e remodelamento das vias aéreas.
Resultados
Tanto os animais sensibilizados por via subcutânea como intraperitoneal produziram IgE específica anti-Der p. Ocorreu aumento da eosinofilia peribroncovascular apenas nos animais que receberam menor dose de Der p. Porém apenas o grupo sensibilizado com Der p 50mcg subcutânea apresentou remodelamento significativo das vias aéreas.
Conclusão
Neste modelo murino de asma, as duas vias de sensibilização levaram à produção de IgE específica e eosinofilia nas vias aéreas. No entanto, apenas a via subcutânea foi capaz de induzir ao remodelamento. Além disso, doses menores de Der p utilizadas foram superiores às mais elevadas, sugerindo tolerância. Mais estudos são necessários para avaliar a eficácia deste modelo no desenvolvimento da hiperresponsividade brônquica, mas ele pode ser replicado em experimentos para criação de novas estratégias terapêuticas medicamentosas ou imunoterápicas.
Palavras-chave: Modelos animais; Asma/induzido quimicamente; Pyroglyphidae
253

