28/Apr/2025
Omission of dexamethasone in prophylaxis for highly emetogenic chemotherapy in patients with breast cancer
DOI: 10.31744/einstein_journal/2025AO1124
Highlights ■ Evaluation of a corticosteroid-free antiemetic regimen. ■ Primary endpoint: 46% nausea control. ■ Secondary endpoint: 68% emesis control. ■ Comparable to standard four-drug protocols. ABSTRACT Objective: Chemotherapy-induced nausea and vomiting are highly prevalent adverse events that can lead to poor treatment adherence and a decreased quality of life. To the best of our knowledge, the complete omission of dexamethasone from any regimen for preventing nausea and vomiting has not yet been evaluated. This study aimed to evaluate the […]
Keywords: Antineoplastic agents; Breast neoplasms; Dexamethasone; Drug therapy; Drug-related side effects and adverse reactions; Nausea; Olanzapine; Vomiting
12/Aug/2024
Influence of IL-β, IL-1RN, and TNF-α variants on the risk of acetylsalicylic acid-induced upper gastrointestinal bleeding: a case-control study
DOI: 10.31744/einstein_journal/2024AO0746
Highlights This study contributes data on the pharmacogenomics of acetylsalicylic acid. Brazilian data contribute to reducing the lack of diversity in genetic studies examining unrepresented groups. The genetic variants evaluated were not associated with gastrointestinal bleeding. ABSTRACT Objective: The use of acetylsalicylic acid, even in low doses, may be associated with the onset of upper gastrointestinal bleeding as an idiosyncratic response. Considering the role of the genetic background in inter-individual responses to pharmacotherapy, we aimed to investigate the role of […]
Keywords: Drug-related side effects and adverse reactions; Interleukins; Pharmacogenetics; Platelet aggregation inhibitors; Tumor necrosis factor-alpha
21/Nov/2022
Hydroxychloroquine for treatment of COVID-19 patients: a systematic review and meta-analysis of randomized controlled trials
DOI: 10.31744/einstein_journal/2022RW0045
ABSTRACT Objective We performed a systematic review of the literature and meta-analysis on the efficacy and safety of hydroxychloroquine to treat COVID-19 patients. Methods We searched the Cochrane Central Register of Controlled Trials (CENTRAL), MEDLINE, EMBASE, and LILACS (January 2019 to March 2021) for patients aged 18 years or older, who had COVID-19 and were treated with hydroxychloroquine versus placebo or standard of care. We also searched the WHO Clinical Trials Registry for ongoing and recently completed studies, and the […]
Keywords: Coronavirus infections; COVID-19; Disease prevention; Drug-related side effects and adverse reactions; Hydroxychloroquine; SARS-CoV-2; Therapeutics
09/Nov/2022
Post-vaccination incidence and side effects of COVID-19 in a cohort of Brazilian healthcare professionals: an internet-based survey
einstein (São Paulo). 09/Nov/2022;20:eAO0067.
View Article09/Nov/2022
Post-vaccination incidence and side effects of COVID-19 in a cohort of Brazilian healthcare professionals: an internet-based survey
DOI: 10.31744/einstein_journal/2022AO0067
ABSTRACT Objective So far, at least 18 different severe acute respiratory syndrome coronavirus-2 vaccines have been approved. Until October 2022, 12.8 billion doses had been administered all over the world. Vaccination of high-risk groups and healthcare professionals was initially prioritized. This cross-sectional survey aimed to investigate the occurrence of vaccine side effects, as well as the incidence of COVID-19 among vaccinated healthcare professionals. Methods A survey was structured and shared with healthcare professionals using a digital platform to collect data […]
Keywords: CoronaVac; Coronavirus infections; COVID-19; Drug-related side effects and adverse reactions; Health personnel; Vaccines
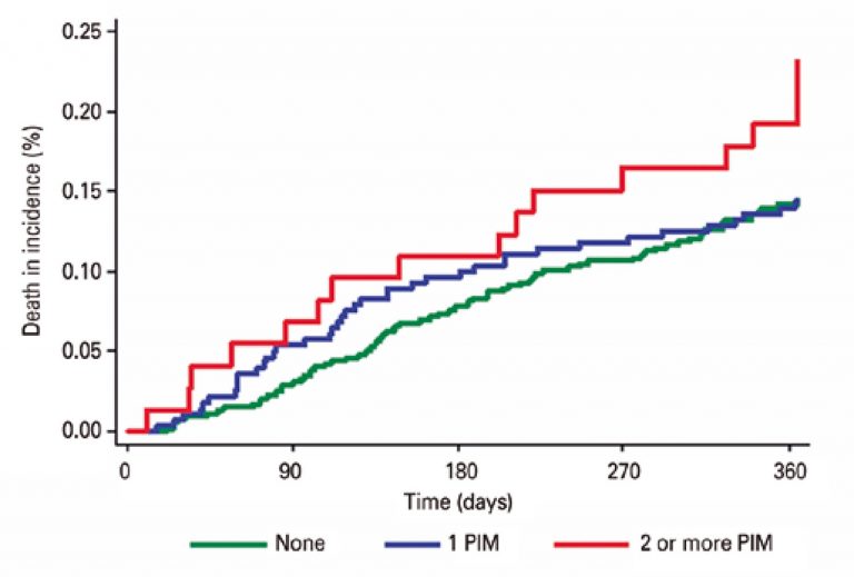
28/Jun/2022
Use of potentially inappropriate medications and adverse events in older outpatients with acute conditions
DOI: 10.31744/einstein_journal/2022AO8024
ABSTRACT Objective To examine associations between potentially inappropriate medication, use and the risk of falls, unplanned hospitalization and death in older patients receiving initial care in a geriatric day hospital due to acute conditions. Methods Cohort study with older adults referred to a geriatric day hospital from 2014 to 2017 due to acute conditions. Patients were submitted to comprehensive geriatric assessment. Use of medications was analyzed according to Beers Criteria 2019. Outcome assessment was based on monthly follow-up telephone calls […]
Keywords: Aged; Drug-related side effects and adverse reactions; Frail elderly; Potentially inappropriate medication list
26/Nov/2020
Transfusion-related acute lung injury associated to intravenous immunoglobulin infusion in a pediatric patient
DOI: 10.31744/einstein_journal/2020RC5606
ABSTRACT Case report of a patient with an immunodeficiency who demands regular replacement of intravenous immunoglobulin. She presented an episode of transfusion-related acute lung injury shortly after using an immunoglobulin product different than the one she usually received. The patient evolved with respiratory changes (hypoxia, dyspnea, change in pulmonary auscultation) minutes after the end of the infusion, and received non-invasive respiratory support. She was discharged after 36 hours with good outcome. The patient achieved full recovery, showing no further reactions […]
Keywords: Child; Drug-related side effects and adverse reactions; Immunoglobulins; Immunoglobulins, intravenous; Immunologic deficiency syndromes; Transfusion-related acute lung injury
13/Feb/2020
Serious adverse event: late neurotropic disease associated with yellow fever vaccine
DOI: 10.31744/einstein_journal/2020RC5041
ABSTRACT The yellow fever is a systemic disease that was under control due to the effective campaigns against the vector and promotion of vaccines programs. However, since 1999, outbreaks appeared because of inefficient control of the vector, and led to the need of amplifying the immunization in large scale against the yellow fever virus, and consequently, raising the risk of adverse reactions to the vaccine. We report a case of previously healthy infant, who was referred to our care service, […]
Keywords: Child health; Drug-related side effects and adverse reactions; Encephalomyelitis, acute disseminated; Immunization; Yellow fever; Yellow fever vaccine
21/Nov/2018
Profile of drugs used for self-medication by elderly attended at a referral center
DOI: 10.31744/einstein_journal/2018AO4372
ABSTRACT Objective To determine the profile of medications used for self-medication by the elderly. Methods A cross-sectional study based on interviews with elderly seen at a reference center for Elderly Health of a teaching hospital, from July 2014 to July 2015. Clinical, demographic and pharmacotherapeutic data were collected. Results A total of 170 elderly were interviewed, 85.9% female, and the median age was 76 years. The frequency of self-medication was 80.5%. The most used medications for self-medication were central acting […]
Keywords: Aged; Drug therapy; Drug-related side effects and adverse reactions; Self medication
