einstein (São Paulo). 01/Jul/2011;9(3):294-301.
Predictive performance of 12 equations for estimating glomerular filtration rate in severely obese patients
DOI: 10.1590/S1679-45082011AO1922
ABSTRACT
Objective:
Considering that the Cockcroft-Gault formula and the equation of diet modification in renal disease are amply used in clinical practice to estimate the glomerular filtration rate, although they seem to have low accuracy in obese patients, the present study intends to evaluate the predictive performance of 12 equations used to estimate the glomerular filtration rate in obese patients.
Methods:
This is a cross-sectional retrospective study, conducted between 2007 and 2008 and carried out at a university, of 140 patients with severe obesity (mean body mass index 44 ± 4.4 kg/m2). The glomerular filtration rate was determined by means of 24-hour urine samples. Patients were classified into one or more of the four subgroups: impaired glucose tolerance (n = 43), diabetic (n = 24), metabolic syndrome (n = 76), and/or hypertension (n = 66). We used bias, precision, and accuracy to assess the predictive performance of each equation in the entire group and in the subgroups.
Results:
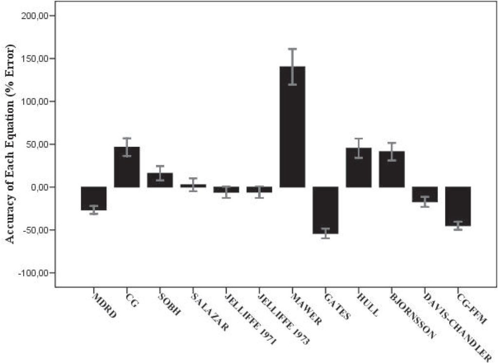
In renal disease, Cockcroft-Gault’s formula and the diet modification equation are not precise in severely obese patients (precision: 40.9 and 33.4, respectively). Sobh’s equation showed no bias in the general group or in two subgroups. Salazar-Corcoran’s and Sobh’s equations showed no bias for the entire group (Bias: −5.2, 95% confidence interval (CI) = −11.4, 1.0, and 6. 2; 95%CI = −0.3, 12.7, respectively). All the other equations were imprecise for the entire group.
Conclusion:
Of the equations studied, those of Sobh and Salazar-Corcoran seem to be the best for estimating the glomerular filtration rate in severely obese patients analyzed in our study.
Keywords: Glomerular filtration rate; Obesity; Kidney; Creatinine; Weight loss
295

