einstein (São Paulo). 21/Nov/2018;16(4):eAO4339.
Is quality of life affected by temporomandibular disorders?
DOI: 10.31744/einstein_journal/2018AO4339
ABSTRACT
Objective
To determine the impact of temporomandibular disorders in quality of life.
Methods
A total of 102 volunteer patients (68 female) aged 19 to 86 years, who sought medical care in health clinics of the university and were evaluated in the period from September to December 2013. The subjects were examined according to the Research Diagnostic Criteria for Temporomandibular Disorders, using a mechanical algometer (Palpeter®) with standardized pressure of 0.5 and 1.0kg, and Medical Outcomes Study 36-Item Short Form Health Survey (SF-36) questionnaire, to assess quality of life. The data were tabulated for statistical analysis and the variables were correlated with the clinical findings of the temporomandibular disorders and quality of life.
Results
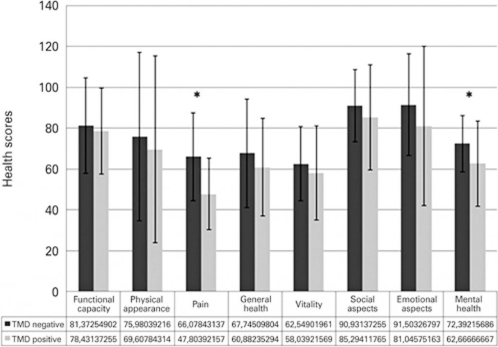
Fifty percent of patients were positive for temporomandibular disorders and 39.2% classified as myofascial pain group. The temporomandibular disorder group was significantly associated with uncomfortable bite (p=0.0000), temporomandibular joint clicking (p=0.0001) and tooth clenching (p=0.0001). The Mann Whitney test used to analyze the SF-36 revealed that the domains of pain (mean score of 47.80%; p<0.0001) and mental health (62.67%; p<0.05) were strongly associated with temporomandibular disorders.
Conclusion
The quality of life of individuals with temporomandibular disorders was negatively affected by the presence of pain and mental health disorders.
910

