einstein (São Paulo). 21/nov/2018;16(4):eAO4339.
A disfunção temporomandibular afeta a qualidade de vida?
DOI: 10.31744/einstein_journal/2018AO4339
RESUMO
Objetivo
Determinar o impacto das disfunções temporomandibulares na qualidade de vida.
Métodos
Foram incluídos 102 pacientes voluntários (68 mulheres) com idades entre 19 e 86 anos, que buscaram atendimento médico nas clínicas de saúde da universidade e foram avaliados no período de setembro a dezembro de 2013. Os pacientes foram examinados segundo os Critérios Diagnósticos para Pesquisa em Disfunções Temporomandibulares, usando um algômetro mecânico (Palpeter®) com pressão padronizada de 0,5 e 1,0kg e o questionário Medical Outcomes Study 36-Item Short Form Health Survey (SF-36), para avaliação da qualidade de vida. Os dados foram tabulados para análise estatística, e as variáveis foram correlacionadas com os achados clínicos das disfunções temporomandibulares e da qualidade de vida.
Resultados
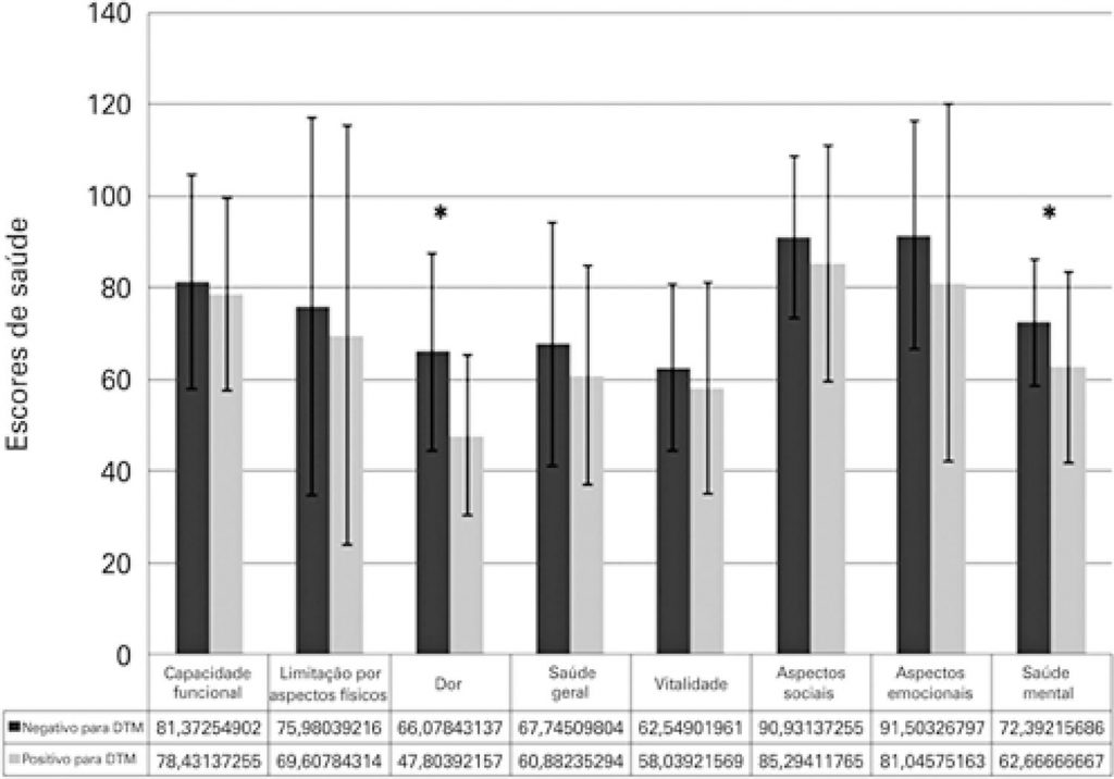
Metade dos pacientes foi positiva para disfunções temporomandibulares, sendo 39,2% deles classificados como grupo de dor miofascial. O grupo de disfunções temporomandibulares foi significativamente associado ao desconforto ao morder (p=0,0000), à crepitação da articulação temporomandibular (p=0,0001) e ao apertar dos dentes (p=0,0001). O teste de Mann-Whitney usado para analisar o SF-36 revelou que os domínios da dor (pontuação média de 47,80%; p<0,0001) e saúde mental (62,67%; p<0,05) estavam fortemente associados às disfunções temporomandibulares.
Conclusão
A qualidade de vida de indivíduos com disfunções temporomandibulares foi afetada negativamente pela presença da dor e de transtornos de saúde mental.
944

