einstein (São Paulo). 21/nov/2018;16(4):eAO4359.
Efeito do treinamento auditivo-motor no processamento auditivo de escolares
DOI: 10.31744/einstein_journal/2018AO4359
RESUMO
Objetivo
Comparar as respostas da Avaliação Simplificada do Processamento Auditivo Central às da Scale of Auditory Behaviors antes e depois de um treinamento auditivo e de habilidades motoras.
Métodos
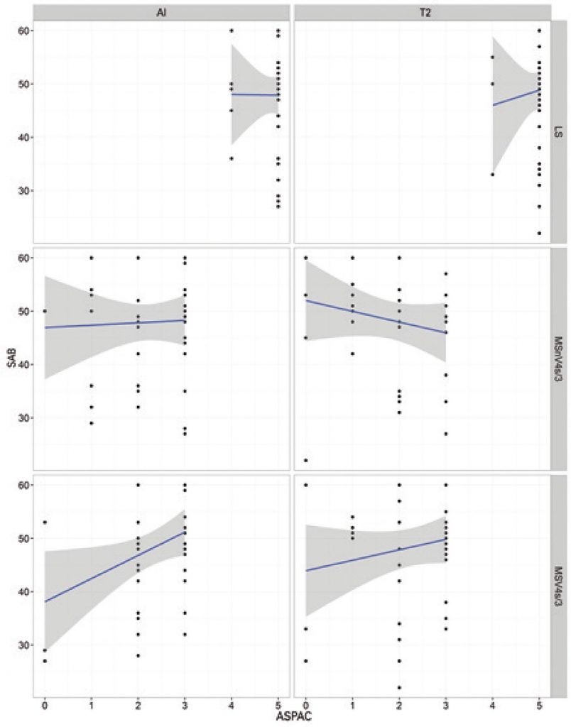
Participaram 162 escolares de 9 a 11 anos de escola pública municipal da cidade de São Paulo (SP), sendo 122 deles divididos em três grupos experimentais: Multissensorial; Auditivo/Motor e Motor/Auditivo. Eles receberam estimulação auditiva, visuoespacial e motora durante 8 semanas (8 horas). O Grupo Controle, que não recebeu estimulação, foi formado por 40 escolares.
Resultados
A relação entre a percepção dos professores sobre o comportamento dos alunos e suas respostas em testes auditivos mostrou que quanto melhor o resultado na avaliação do processamento auditivo, melhores os escores da Scale of Auditory Behaviors.
Conclusão
Após treinamento auditivo e motor, ocorreu melhora significativa das habilidades do processamento auditivo demonstradas pela Avaliação Simplificada do Processamento Auditivo Central e na Scale of Auditory Behaviors, e este modelo de intervenção consistiu em boa ferramenta para uso na escola.
1.107

