einstein (São Paulo). 29/Sep/2021;19:eAO6376.
Willingness to pay for short- and long-acting contraceptives among female adolescents and their parents in Brazil:a pilot study
DOI: 10.31744/einstein_journal/2021AO6376
ABSTRACT
Objective
To evaluate willingness to pay for short- and long-acting reversible contraceptive methods among female Brazilian adolescents and their parents, as well as their perspective on using such methods.
Methods
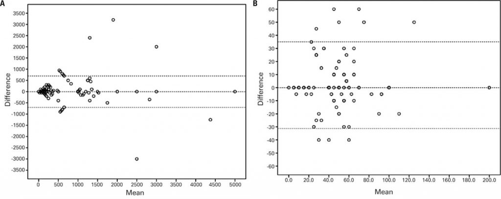
This is a cross-sectional study of female adolescents aged 13 to 19 years and their parents. We surveyed to estimate their willingness to pay for contraceptive methods. The values are expressed as mean±standard deviation in Brazilian reals (R$). Spearman correlation was employed for socioeconomic status of parents, age of adolescents and their standpoints. The methods types and adolescent and parent perspectives were analyzed by the test χ2. To determine an agreement between pairs and their willingness to pay, we used the Bland-Altman plot.
Results
A total of 165 surveys were collected. Short-acting method was significantly more acceptable to pay than the long-action method, by both parents and their daughters. Parents and their daughters are willing to pay out-of-pocket R$ 52,25±22,48 and R$ 51,63±21,24 for short-acting reversible contraception method, and R$ 176,83±130,34 and R$ 174,83±143,64, for long-acting method, respectively. Bland-Altman analysis indicated an agreement on both perspectives and the price they are willing to pay for each contraceptive method.
Conclusion
Parents and adolescent daughters are more willing to pay for short-acting methods. We showed an agreement between the parent and the daughter for the values paid for each method.
257

