einstein (São Paulo). 01/Oct/2010;8(4 Pt 1):423-9.
Evaluation of semen parameters in semen donors in a ten-year period in the city of São Paulo
DOI: 10.1590/S1679-45082010AO1546
ABSTRACT
Objective:
To evaluate sperm concentration, morphology and motility of Brazilian semen donors from 1992 to 2003, in the city of São Paulo.
Methods:
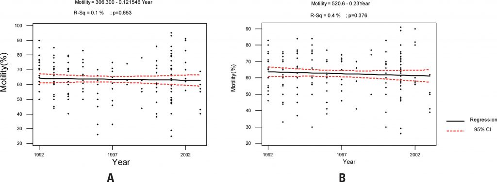
Retrospective study analyzing 182 donor semen samples from 1992 to 2003. The first and the second donated sample were analyzed for each donor. Donor average age was 30.8 years. Means with standard errors, medians with minimum and maximum values, and interquartile ranges were calculated for age, sperm concentration, semen volume, oval morphology and motility. The relation between each characteristic of the semen samples and the year of donation, as well as donor age and season of the year were studied by linear and multiple regression analysis.
Results:
Linear regression analysis showed that the sperm concentration (R2 = 19.1%, R2 = 20.2%, p < 0.0001 respectively) and the oval morphology (R2 = 13%; R2 = 13.5%; p < 0.0001, respectively) decreased significantly, even when the first or the second sperm collection is considered. The ejaculated volume showed slight increase during the period for both samples (R2 = 2.2%, p = 0.048; R-sq = 2.4%. p = 0.038, respectively). All characteristics did not depend on the donors’ age or season of the year when the samples were obtained.
Conclusions:
There was a decrease in spermatic concentration and percentage of oval sperm of semen donors samples from 1992 to 2003, in the city of São Paulo.
Keywords: Semen; Spermatozoa; Semen analysis
233

