einstein (São Paulo). 28/Jan/2020;18:eAO5227.
Efficacy of a behavior change program on cardiovascular parameters in patients with hypertension: a randomized controlled trial
DOI: 10.31744/einstein_journal/2020AO5227
ABSTRACT
Objective
To investigate the efficacy of a behavior change program named Vida Ativa Melhorando a Saúde on cardiovascular parameters in hypertensive patients.
Methods
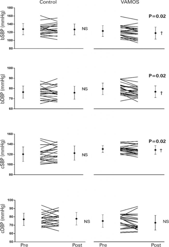
Ninety hypertensive patients aged over 40 years were randomly allocated to one of two groups: Vida Ativa Melhorando a Saúde or Control (n=45 respectively). Patients in the Vida Ativa Melhorando a Saúde group took part in a behavior change program aimed to encourage changes in physical activity levels and eating habits, according to the Social Cognitive Theory. The program consisted of 90-minute weekly group meetings conducted by a physical therapist and a dietitian. One chapter of the educational material (workbook) provided was discussed per meeting. Participants in the Control Group attended a single educative lecture on lifestyle changes. Brachial and central blood pressure, arterial stiffness and endothelial function parameters were measured pre- and post-intervention.
Results
Vida Ativa Melhorando a Saúde led to reduction of brachial (131.3±15.8mmHg to 125.1±17.3mmHg; p<0.01) and central (123.6±16.3mmHg to 119.0±20.6mmHg; p=0.02) systolic and brachial diastolic (123.6±16.3mmHg to 119.0±20.6mmHg; p<0.01) blood pressure values, and improvement of post-occlusive reactive hyperemia (from 5.7±2.5mL·100mL−1 to 6.5±2.1mL·100mL−1 tissue·min−1; p=0.04). No changes in body composition, heart rate and arterial stiffness parameters were detected in both groups (p>0.05).
Conclusion
Vida Ativa Melhorando a Saúde program improved blood pressure and microvascular reactivity in hypertensive patients. Trial registration: ClinicalTrials.gov: NCT02257268
Keywords: Hypertension; Blood pressure; Cardiac rehabilitation; Lifestyle; Health behavior
1,242

