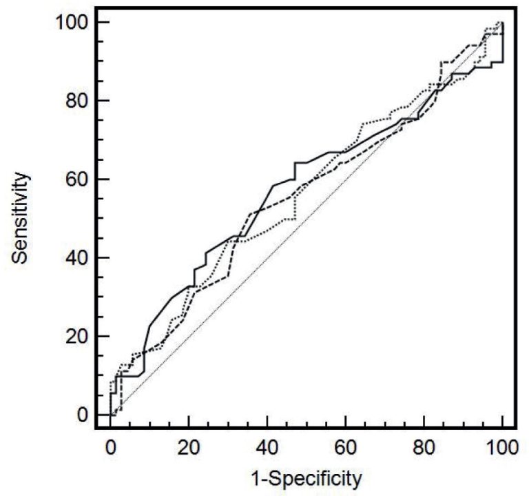
ABSTRACT Chronic diseases such as obesity, type-2 diabetes, metabolic syndrome and cardiovascular diseases are associated with inflammation due the increase of TNF-α, IL-6 and C-reactive protein concentrations. Occidental life style, specially related to the changes in food habits as observed in the past years, have an important role in the development of these diseases. Among the life style changes identified as having an impact in the development of diseases, is the decrease in dietary fiber consumption. Some studies have shown […]