einstein (São Paulo). 01/Apr/2011;9(2 Pt 1):165-72.
Iron overload in Brazilian thalassemic patients
DOI: 10.1590/S1679-45082011AO1897
ABSTRACT
Objectives:
To evaluate the use of magnetic resonance imaging in patients with β-thalassemia and to compare T2* magnetic resonance imaging results with serum ferritin levels and the redox active fraction of labile plasma iron.
Methods:
We have retrospectively evaluated 115 chronically transfused patients (65 women). We tested serum ferritin with chemiluminescence, fraction of labile plasma iron by cellular fluorescence and used T2* MRI to assess iron content in the heart, liver, and pancreas. Hepatic iron concentration was determined in liver biopsies of 11 patients and the results were compared with liver T2* magnetic resonance imaging.
Results:
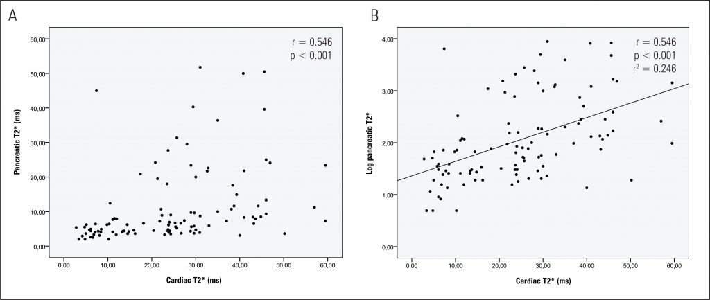
The mean serum ferritin was 2,676.5 +/- 2,051.7 ng/mL. A fraction of labile plasma iron was abnormal (> 0,6 Units/mL) in 48/83 patients (57%). The mean liver T2* value was 3.91 ± 3.95 ms, suggesting liver siderosis in most patients (92.1%). The mean myocardial T2* value was 24.96 ± 14.17 ms and the incidence of cardiac siderosis (T2* < 20 ms) was 36%, of which 19% (22/115) were severe cases (T2* < 10 ms). The mean pancreas T2* value was 11.12 ± 11.20 ms, and 83.5% of patients had pancreatic iron deposition (T2* < 21 ms). There was significant curvilinear and inverse correlation between liver T2* magnetic resonance imaging and hepatic iron concentration (r= −0.878; p < 0.001) and moderate correlation between pancreas and myocardial T2* MRI (r = 0.546; p < 0.0001).
Conclusion:
A high rate of hepatic, pancreatic and cardiac impairment by iron overload was demonstrated. Ferritin levels could not predict liver, heart or pancreas iron overload as measured by T2* magnetic resonance imaging. There was no correlation between liver, pancreas, liver and myocardial iron overload, neither between ferritin and fraction of labile plasma iron with liver, heart and pancreas T2* values
Keywords: Blood transfusion; Magnetic resonance imaging; Biopsy; Iron overload
489

