einstein (São Paulo). 31/jan/2014;11(4):435-8.
Paullinia cupana para o controle de fogachos em pacientes com câncer de mama: um estudo piloto
DOI: 10.1590/S1679-45082013000400005
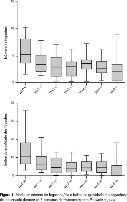
OBJETIVO: Avaliar se a Paullinia cupana diminui o número e a gravidade dos fogachos em mulheres após diagnóstico de câncer de mama. MÉTODOS: Estudo piloto prospectivo fase II realizado com mulheres que sobreviveram ao câncer de mama, que completaram o tratamento pelo menos 3 meses antes e que apresentavam ao menos 14 episódios de fogachos por semana. Utilizando o desenho de Simon para que a primeira etapa fosse considerada positiva, ao menos 9 de 15 mulheres deveriam ter a gravidade dos fogachos diminuída em pelo menos 50%. As pacientes receberam 50mg do extrato seco de Guaraná oralmente 2 vezes por dia por 6 semanas. Foram avaliadas, a gravidade e a frequência dos fogachos. RESULTADOS: Dezoito pacientes iniciaram o tratamento com Paullinia cupana e 15 completaram o estudo. Três pacientes deixaram o estudo imediatamente após iniciarem o tratamento em razão de dificuldade na participação e não adesão. Das 15 pacientes que completaram o estudo, 10 obtiveram diminuição de mais de 50% dos índices de gravidade de fogachos. Durante as 6 semanas de tratamento, diminuições estatisticamente significativas foram observadas tanto no número de fogachos (p=0,0009), quanto nos índices de gravidade (p<0,0001). Paullinia cupana foi bem tolerada, e não houve relato de toxicidade como causa de saída do estudo. CONCLUSÕES: Paullinia cupana pareceu promissora para o controle de fogachos. Estudos mais extensivos são necessários.
Palavras-chave: Neoplasias da mama; Fogachos; Paullinia pinnata; Guaraná (Homeopatia)
216

