einstein (São Paulo). 21/out/2024;22(spe1):eRC0922.
Extracorporeal cardiopulmonary resuscitation for a patient awaiting heart transplantation: a case report
DOI: 10.31744/einstein_journal/2024RC0922
ABSTRACT
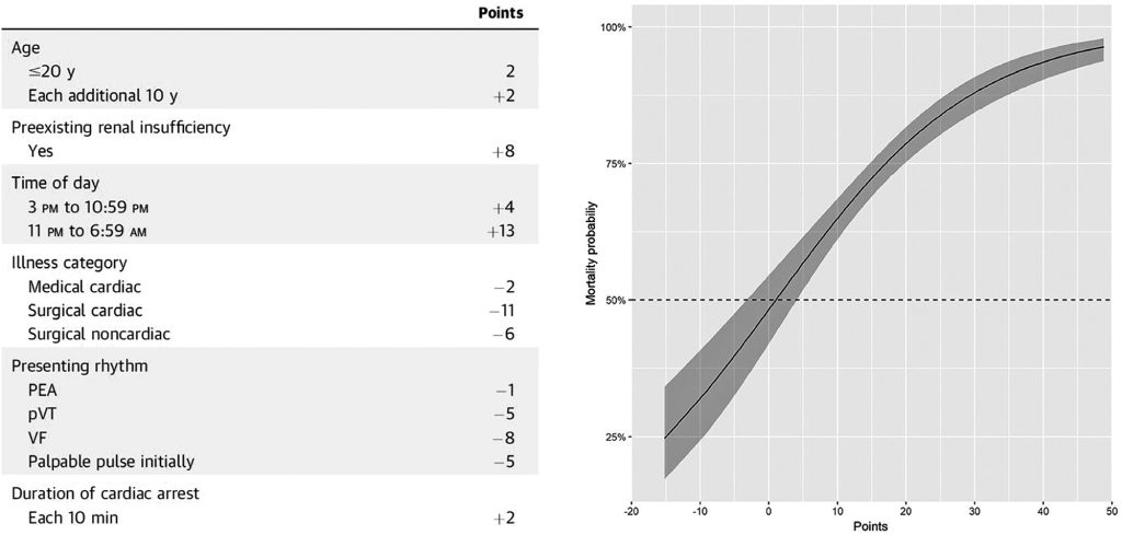
Extracorporeal cardiopulmonary resuscitation is a method of cardiopulmonary resuscitation that uses extracorporeal membrane oxygenation with conventional cardiopulmonary resuscitation and has emerged as a promising intervention for patients with refractory cardiac arrest. This report describes the case of a 44-year-old man at significant risk for mortality according to his high RESCUE-IHCA Score who was awaiting heart transplantation and experienced in-hospital cardiac arrest during hemodialysis. Prompt recognition, immediate activation of the extracorporeal membrane oxygenation team, and initiation of support within 60 minutes contributed to a favorable outcome. This case emphasizes important considerations associated with extracorporeal cardiopulmonary resuscitation implementation, including optimal patient selection, intervention timing, and nuances of cannulation procedures. Continuous monitoring, involvement of a specialized extracorporeal membrane oxygenation team, recognition of extracorporeal membrane oxygenation as bridge therapy, and integration of extracorporeal membrane oxygenation with definitive treatment strategies are highlighted. Extracorporeal cardiopulmonary resuscitation is a vital intervention for patients with refractory cardiac arrest, and adequate patient selection and swift implementation are crucial to improving outcomes. A comprehensive review of extracorporeal cardiopulmonary resuscitation is also presented to highlight its efficacy and challenges associated with in-hospital cardiac arrest.
245

